Обзор межсетевого экрана#
Функциональность межсетевого экрана Numa Edge#
Функциональность межсетевого экрана предназначена для анализа и фильтрации пакетов IP между сетевыми интерфейсами. Ее наиболее частое применение – защита трафика между внутренней сетью и Интернетом. Она позволяет фильтровать пакеты на основе их характеристик и выполнять действия над пакетами, соответствующими правилу. Функциональность межсетевого экрана Numa Edge предоставляет следующие возможности:
- Фильтрация пакетов для транзитного (forwarded) трафика, проходящего через маршрутизатор, при помощи ключевых слов in и out на интерфейсе.
- Фильтрация пакетов для трафика, предназначенного самому маршрутизатору, при помощи ключевого слова local.
- Выборка трафика для правил при помощи фильтров.
- Перенаправление сетевого трафика IPv4/IPv6, соответствующего заданным критериям правила, на указанный шлюз.
В межсетевом экране Numa Edge представлена проверка пакетов с поддержкой состояния, так что он может обеспечить существенную дополнительную защиту в многоуровневой стратегии безопасности. Система может перехватывать активность в сети, относить ее к категориям в соответствии с настроенной в ней базой данных разрешенного трафика и разрешать или отвергать попытку.
Определение политик межсетевого экранирования#
Чтобы использовать функцию межсетевого экрана, следует определить набор правил ("политику") межсетевого экранирования и сохранить его с некоторым именем. Политика межсетевого экранирования состоит из ряда правил. После создания политика применяется к интерфейсу для фильтрации пакетов.
Правила политик межсетевого экрана#
Правила политик межсетевого экранирования используют фильтры, в которых указываются условия соответствия для трафика. Правило определяет действия, которые должны быть предприняты, если условия соответствия, прописанные в фильтрах, выполняются. Соответствие трафика может проверяться фильтрами по ряду характеристик, в том числе по IP-адресу отправителя, IP-адресу получателя, порту отправителя, порту получателя, протоколу IP и типу ICMP. Для настройки правил сетевого трафика IPv4 используется ветвь конфигурации policy firewall. Для настройки правил сетевого трафика IPv6 используется ветвь конфигурации policy firewall-ipv6.
Правила выполняются последовательно в соответствии с номером правила. Если трафик соответствует характеристикам, указанным в правиле, то выполняется действие правила; если не соответствует, то система переходит к следующему правилу.
Действие может быть одним из следующих:
- Принять (accept). Трафик разрешается и пересылается.
- Игнорировать (drop). Трафик отбрасывается без каких бы то ни было действий.
- Отвергнуть (reject). Трафик отбрасывается со сбросом TCP.
- Проверить (inspect). Трафик обрабатывается системой защиты от вторжений (IPS).
- Задержать (tarpit). Подвесить входящее TCP соединение
- Обмануть (delude). Создать видимость открытого TCP порта.
По умолчанию в любой политике межсетевого экранирования есть неявное окончательное действие drop (сброс). Это значит, что трафик, не соответствующий ни одному правилу политики, отбрасывается без каких бы то ни было действий. Действие по умолчанию может быть изменено при помощи команды policy firewall <имя> default-action <действие> для протокола IPv4, либо policy firewall-ipv6 <имя> default-action <действие> для протокола IPv6, соответственно.
Правила исключения#
Следует обратить внимание, что нужно проявлять аккуратность при использовании более чем одного правила «исключения» (то есть правила, в котором используется операция отрицания ("!") для исключения правила из обработки). Проверка соответствия правилам выполняется последовательно, так что последовательность из правил исключения может привести к поведению, отличному от ожидаемого.
Межсетевой экран с поддержкой состояния и отслеживание подключений#
Интерфейс командной строки Numa Edge взаимодействует с системой отслеживания подключений сетевого фильтра, которая является модулем, обеспечивающим отслеживание подключений для различных функций системы, в том числе для межсетевого экрана, NAT и балансировки нагрузки ГВС. В межсетевом экране отслеживание подключений делает возможной проверку пакетов с поддержкой состояния.
В отличие от межсетевых экранов без поддержки состояния, фильтрующих пакеты по отдельности на основе статических сведений об отправителе и получателе, межсетевые экраны с поддержкой состояния отслеживают состояние сетевых подключений и потоки трафика и разрешают или ограничивают трафик на основе состояния известности и желательности его подключения. Хотя межсетевые экраны с поддержкой состояния при высокой нагрузке работают медленнее межсетевых экранов без поддержки состояния, первые лучше блокируют нежелательную связь.
Параметры поддержки состояния по умолчанию могут быть изменены командами system conntrack table-size <размер> и system conntrack tcp-loose <состояние>.
Применение политик межсетевого экранирования к интерфейсам#
Когда политика межсетевого экранирования определена, её можно применить к интерфейсам, и она будет работать как пакетный фильтр. Политика межсетевого экранирования фильтрует пакеты одним из следующих способов в зависимости от того, что указано при её применении:
- in (входящий). Если применить политику с использованием ключевого слова in, межсетевой экран будет фильтровать транзитный сетевой трафик, входящий в интерфейс и проходящий через Numa Edge. (Сюда не относится сетевой трафик предназначенный для самого МЭ) С использованием ключевого слова in можно применить один пакетный фильтр.
- out (исходящий). Если применить политику с использованием ключевого слова out, межсетевой экран будет фильтровать транзитный сетевой трафик, покидающий интерфейс. (Сюда не относятся пакеты, исходящие от самого МЭ). С использованием ключевого слова out можно применить один пакетный фильтр.
- local (локальный). Если применить политику с использованием ключевого слова local, межсетевой экран будет фильтровать пакеты, предназначенные для Numa Edge, входящие на интерфейсе. С использованием ключевого слова local можно применить один пакетный фильтр.
К интерфейсу может быть применено не более трёх политик межсетевого экранирования: одна с указанием ключевого слова in, одна – с указанием ключевого слова out и одна – с указанием ключевого слова local.
Политики межсетевого экранирования IPv6#
Защита, обеспечиваемая межсетевым экраном, для сайтов, использующих IPv6, очень важна, так как протокол IPv6 не предоставляет функциональности NAT. Таким образом, межсетевой экран является единственным способом защиты сети IPv6.
Следует заметить, что политики межсетевого экранирования задаются для IPv4 и для IPv6 независимо. Пакеты IPv4 не проверяются по правилам в политиках IPv6, и наоборот. Пакеты IPv6 проверяются ТОЛЬКО по правилам в таблице фильтра для IPv6, а пакеты IPv4 проверяются ТОЛЬКО по правилам в таблице фильтра для протокола IPv4.
В общем, поддержка IPv6 для межсетевого экрана параллельна поддержке для межсетевого экрана IPv4. Некоторые параметры, характерные для IPv4, не применяются в политиках межсетевого экранирования IPv6 и наоборот, например:
- У протокола ICMP есть версия, характерная для IPv6: "ICMP для IPv6". Потому в межсетевом экране IPv6 имеется дополнительное ключевое слово
icmpv6для параметра фильтрации protocol. По той же причине ключевое слово icmp для межсетевого экрана IPv6 не поддерживается. - Параметр
fragmentне поддерживается для межсетевого экрана IPv6, так как фрагментация к IPv6 неприменима.
В IPv4 сопоставление L2-адреса (MAC-адреса сетевого адаптера) с L3-адресом (IP-адресом) в рамках широковещательного домена осуществляется посредством протокола ARP. ARP является протоколом канального уровня и не будет обработан политикой firewall или firewall-ipv6. В IPv6 сопоставление L2-адреса (MAC-адреса сетевого адаптера) с L3-адресом (IP-адресом) в рамках широковещательного домена осуществляется посредством части протоколов из NDP (Neighbor Discovery Protocol). Протоколы NDP используют IPV6. В связи с этим, протоколы, входящие в NDP, будут обработаны политикой firewall-ipv6.
В связи с этим, установка политики policy firewall для направления трафика local никак не повлияет на транзитный трафик IPv4, в то время как установка политики firewall-ipv6 для направления трафика local может полностью блокировать как транзитный трафик, так и локальный IPv6 трафик в связи с тем, что политикой могут быть блокированы запросы на сопоставления L2-адреса (MAC-адреса сетевого адаптера) с L3-адресом (IP-адресом).
Для того, чтобы была возможность сопоставления L2-адреса (MAC-адреса сетевого адаптера) с L3-адресом (IP-адресом) для IPv6 необходимо в политику policy firewall-ipv6 добавить фильтр, первые два правила которого должны выглядеть следующим образом:
Взаимодействие между межсетевыми экраном, NAT и маршрутизацией#
Один из наиболее важных моментов, с которыми следует ознакомиться при работе с межсетевым экраном, это порядок обработки различных служб, которые могут быть настроены в Numa Edge. Если порядок обработки не принимается во внимание, полученные результаты могут отличаться от ожидаемых. На рисунке ниже показан поток трафика через межсетевой экран, NAT и службы маршрутизации внутри Numa Edge.
Под блоком "Применение установленных политик маршрутизации трафика" подразумевается Policy-Based-Routing (PBR).
На рисунке ниже изображена базовая схема сети, которая будет использоваться в дальнейших примерах фильтрации трафика.
Пример 1: прохождение транзитного трафика через Numa Edge; фильтрация транзитного трафика, приходящего на интерфейс#
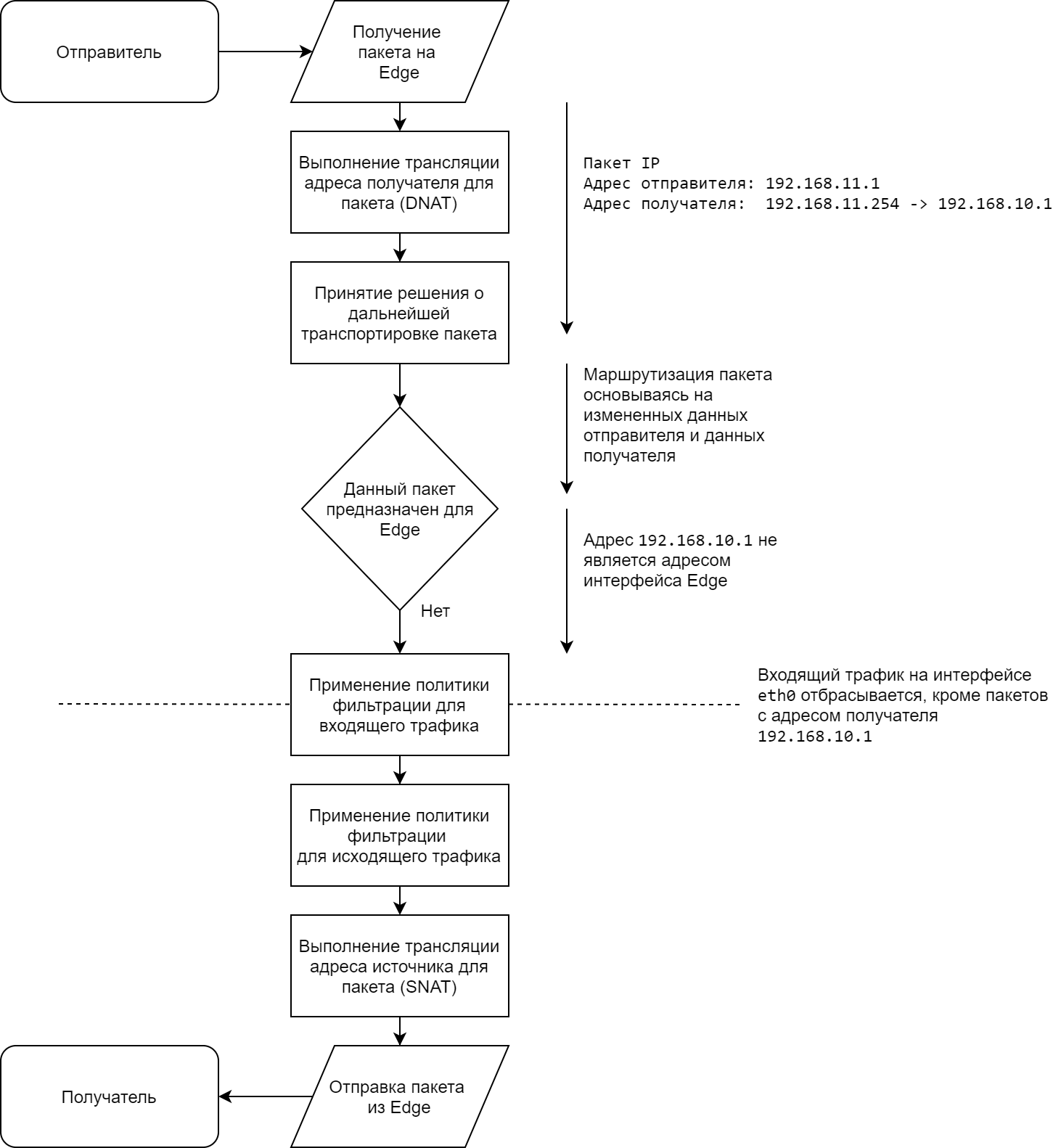
На рисунке ниже оказаны взаимосвязи между межсетевым экраном, NAT и маршрутизацией в Numa Edge по ходу потока транзитного трафика (проходящего сквозь систему) и политики межсетевого экранирования, применённые к трафику, принимаемому (in) на интерфейсе.
Настройка, выполненная на Numa Edge (не включает в себя описание DNAT и SNAT):
- Определение фильтра трафика FW-dst:
- Фильтр FW-dst определяет трафик, получателем которого является 192.168.10.1:
- Фильтр FW-det определяет трафик, относящийся к протоколу TCP:
- Создание узла конфигурации для политики межсетевого экранирования FW-in, для которой по умолчанию определен запрет на прохождение трафика:
- Создание правила Rule 10 для политики межсетевого экранирования FW-in. Это правило разрешает прохождение трафика, соответствующего только указанным критериям:
- В качестве критериев для правила Rule 10 определено соответствие трафика фильтру FW-dst:
- Применение политики межсетевого экранирования FW-in к транзитному входящему трафику интерфейса eth0:
- Фиксация настройки:
- Просмотр внесенных изменений:
Соответствие политикам межсетевого экранирования проверяется после DNAT и решений о маршрутизации, но до SNAT. Именно по этому в качестве адреса получателя указывается адрес, фигурирующий в пакетах после выполнения DNAT.
Пример 2: прохождение транзитного трафика через Numa Edge; фильтрация транзитного трафика, уходящего через интерфейс#
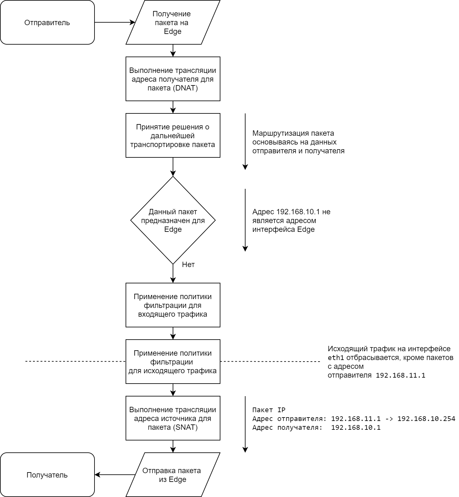
На рисунке ниже показаны взаимосвязи между межсетевым экраном, NAT и маршрутизацией в Numa Edge по ходу потока транзитного трафика (проходящего сквозь систему) и экземпляры межсетевого экрана, применённые к трафику, уходящему (out) через интерфейс.
Настройка, выполненная на Numa Edge (не включает в себя описание DNAT и SNAT):
- Определение фильтра трафика FW-src:
- Фильтр FW-src определяет трафик, источником которого является 192.168.11.1:
- Фильтр FW-src определяет трафик, относящийся к протоколу TCP:
- Создание узла конфигурации для политики межсетевого экранирования FW-out, для которой по умолчанию определен запрет на прохождение трафика:
- Создание правила Rule 10 для политики межсетевого экранирования FW-out. Это правило разрешает прохождение трафика, соответствующего только указанным критериям:
- В качестве критериев для правила Rule 10 определено соответствие трафика фильтру FW-src:
- Применение политики межсетевого экранирования FW-out к исходящему транзитному трафику интерфейса eth1:
- Фиксация настройки:
- Просмотр внесенных изменений:
Следует заметить, что соответствие политикам межсетевого экранирования проверяется после DNAT и решений о маршрутизации, но до SNAT. Именно по этому в качестве адреса отправителя указывается адрес, фигурирующий в пакетах до выполнения SNAT.
Пример 3: прохождение трафика, направленного в локальную систему, через Numa Edge; его фильтрация при вхождении на интерфейс#
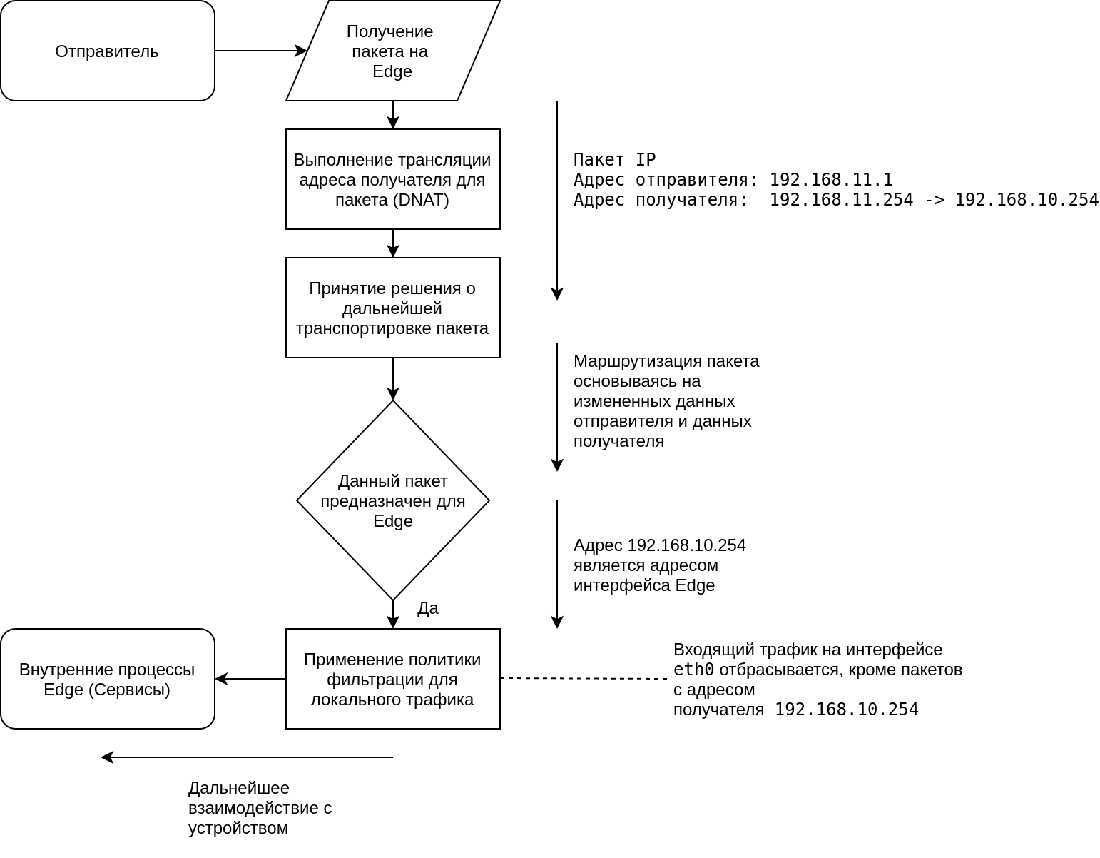
На рисунке ниже показаны взаимосвязи между межсетевым экраном, NAT и маршрутизацией в Numa Edge по ходу потока трафика, приходящего в сам Numa Edge и политики межсетевого экранирования, применённые к локальному (local) трафику на интерфейсе.
Настройка, выполненная на Numa Edge (не включает в себя описание DNAT и SNAT):
- Определение фильтра трафика FW-dst-2:
- Фильтр FW-dst-2 определяет трафик, получателем которого является 192.168.10.1:
- Фильтр FW-dst-2 определяет трафик, относящийся к протоколу TCP:
- Создание узла конфигурации для политики межсетевого экранирования FW-local, для которой по умолчанию определен запрет на прохождение трафика:
- Создание правила Rule 10 для политики межсетевого экранирования FW-local. Это правило разрешает прохождение трафика, соответствующего только указанным критериям:
- В качестве критериев для правила Rule 10 определено соответствие трафика фильтру FW-dst-2:
- Применение политики межсетевого экранирования FW-local к входящему трафику интерфейса eth0, предназначенному для Edge:
- Фиксация настройки:
- Просмотр внесенных изменений:
Следует заметить, что соответствие политикам межсетевого экранирования проверяется после DNAT и маршрутизации. В текущем варианте SNAT не выполняется.
Пример 4: прохождение трафика, направленного из локальной системы, через Numa Edge#
На рисунке ниже показаны взаимосвязи между межсетевым экраном, NAT и маршрутизацией в Numa Edge по ходу потока трафика, исходящего из самого Numa Edge.
Следует отметить, что к сетевому трафику, исходящему из Numa Edge нельзя применить политики межсетевого экранирования. В текущем варианте DNAT не выполняется. Выполняется SNAT для исходящего трафика.





